Wiadomości firmy
-
ARA-290: Peptyd nowej generacji przyspieszający gojenie skóry
ARA-290: Peptyd nowej generacji przyspieszający gojenie skóry Gojenie się ran jest złożonym procesem,...Przeczytaj więcej -
FDA zatwierdza pierwszą doustną terapię kontrolującą wagę GLP-1: technologie dostarczania leków wkraczają w nową erę
Amerykańska Agencja ds. Żywności i Leków (FDA) zatwierdziła pierwszy na świecie doustny glukagonopodobny peptyd-1...Przeczytaj więcej -
Palforytoil Tripeptide-1
Palmitoyl Tripeptide-1: Zwiększ elastyczność swojej skóry! Pożegnaj irytujące zmarszczki, które...Przeczytaj więcej -
Metoda syntezy w fazie stałej Melanotanu I
Melanotan I, znany również jako afamelanotyd, jest liniowym polipeptydem złożonym z 13 aminokwasów, który...Przeczytaj więcej -
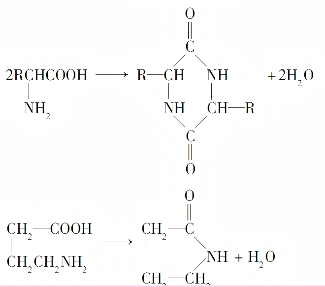
Szlak syntezy polipeptydów i białek w kondensacji odwodnienia aminokwasów
Aminokwasy tworzą białka polipeptydowe w wyniku reakcji kondensacji, zgodnie z pewnymi zasadami. Ten...Przeczytaj więcej -
Nie tylko zmniejszenie poziomu cukru we krwi i masy ciała! Somalutyd zapoczątkowuje nową erę leczenia wielu chorób, badania kliniczne dostarczają mocnych dowodów
Jeśli chodzi o semaglutyd, wiele osób zna jego działanie hipoglikemizujące i zmniejszające wagę.Przeczytaj więcej -
Zapis konferencji Sanya: GoTop Biotechnology zagłębia się w dziedzinę peptydów i omawia przełomy technologiczne i lądowanie przemysłowe z partnerami badawczymi z uniwersytetów branżowych
11. Krajowa konferencja naukowa dotycząca badań i rozwoju leków peptydowych oraz produkcji na skalę pionierską technologii na skalę...Przeczytaj więcej -
Go Top Biotech debiutuje na targach CPHI Frankfurt 2025, łącząc możliwości biznesowe w Europie poprzez kompleksowe usługi łańcucha dostaw
W dniach 28-30 października 2025 r. odbędzie się Światowa Wystawa Składników Farmaceutycznych 2025 w Europie (CPHI Frank...Przeczytaj więcej -
Przyszły potencjalny doustny lek odchudzający GLP-1 - amikrytyna
Najnowsze dane kliniczne fazy II firmy Novo Nordisk pokazują, że jednocząsteczkowy podwójny agonista GLP-1 + amylina...Przeczytaj więcej -
Nowy przełom w leczeniu bielactwa nabytego! Tripeptydowa, biomimetyczna strategia synergiczna KPV oferuje nową nadzieję na przywrócenie pigmentacji
Bielactwo nabyte jest powszechnie występującą na całym świecie nabytą chorobą skóry, charakteryzującą się miejscowymi lub uogólnionymi zmianami...Przeczytaj więcej -
Funkcja peptydu P21
Peptyd P21 (peptyd P21) to sztucznie syntetyzowany analog CNTF (rzęskowy czynnik neurotroficzny) t...Przeczytaj więcej -
Zasada działania i przygotowanie substratu tripeptydu/endotoksyny odczynnika Limulus
Tripeptyd odczynnika Limulus jest substancją tripeptydową o określonej sekwencji ekstrahowanej z hor...Przeczytaj więcej